随着温室效应的加剧,有效监测CO2的运移状况已成为CCS(Carbon Capture and Storage)和CCUS(Carbon Capture, Utilization and Storage)的研究热点。掌握地震接收响应与CO2注入及封存过程中声学接收响应的影响规律,是利用地震方法监测封存安全性的关键依据。岩石物理实验的CT观测结果显示,驱替和渗吸过程中流体的流动特征存在显著差异,声学测量实验进一步证实了这一过程会导致声学响应特征的显著变化。然而,目前沿用的孔隙介质声传播理论难以区分注入驱替和封存渗吸过程的动态差异,使得传统监测方法对CO2动态运移和空间分布的预测精度有待提高。
针对这一问题,中国科学院声学研究所超声学实验室博士研究生亓玉娟及其导师张秀梅研究员等人,针对CO2注入及封存过程中驱替和渗吸的流体流动差异,修正了传统孔弹性理论,并结合实验数据验证了模型修正的可行性。相关研究成果在线发表于学术期刊Geophysical Prospecting。
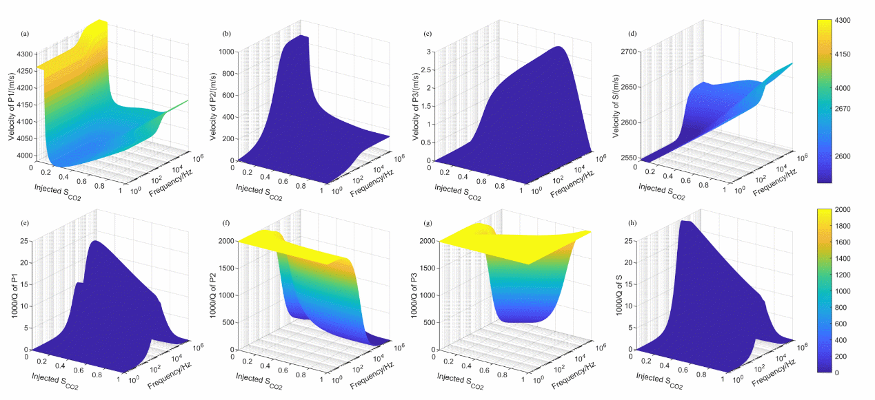
研究人员在Lo三相孔隙介质理论的基础上,基于流体压力与流体模量的关系,表征了流体非均匀分布对三相孔隙介质声波传播的影响规律。同时,采用不同的相对渗透率和毛管压力曲线,表征了驱替和渗吸过程中多相流体的全局流动特征对孔隙介质声波响应的作用机制。基于上述理论修正,进一步探究了声波在饱和两种流体的多孔介质中传播时的频散和衰减特性。
研究结果表明,即使在相同的CO2饱和度下,饱和两种流体的非饱和孔隙介质的声传播特性在驱替和渗吸过程中也存在显著差异。流体斑块分布和毛管压力通过改变纵波模量对纵波传播产生显著影响,而对横波的影响较小。相对渗透率反映了流体渗流引起的流-固之间黏滞耦合作用的影响,体现在纵波和横波的频散和衰减上。修正模型对驱替和渗吸动态过程中纵波速度的预测结果与实验数据吻合良好,验证了模型的有效性。
本研究得到了国家自然科学基金(No.12334019、No.12304496)资助。

图1 不同CO2注入饱和度和频率对(a)P1波、(b)P2波、(c)P3波和(d)S波传播速度,以及(e)P1波、(f)P2波、(g)P3波和(h)S波衰减的影响规律(图/中国科学院声学研究所)


图2 实验测量的驱替和渗吸过程中纵波速度变化与理论预测结果对比:(a)Zhang等人实验,(b)Yun等人实验(图/中国科学院声学研究所)
参考文献:
Yujuan Qi, Xiumei Zhang, Lin Liu. Dynamic fluid flow effects on acoustic propagation characteristics of unsaturated porous media in CO2 geological sequestration. Geophysical Prospecting, 2025, 73(6): e70065. DOI: https://doi.org/10.1111/1365-2478.70065
论文链接:

